硒(Se)是一種天然的非金屬元素,主要存在于硒蛋白和硒酸生物聚合物中。由于硒具有營養學和毒理學作用,因此在醫學和生物學領域受到了廣泛關注。硒對于細胞功能和幾種具有抗氧化特性的硒蛋白合成是必需的,這些蛋白對包括人類在內的哺乳動物生命至關重要。
雖然硒這么重要,但目前已知僅有兩種將硒引入蛋白質和核酸的途徑,即通過硒代半胱氨酸和2-硒尿苷。20多年來,這一領域沒有研究進展,如何將硒特異性地引入小分子的途徑還沒有人知道。
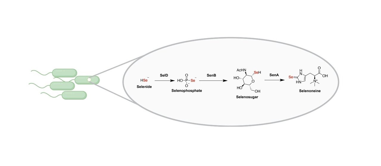
在一項新的研究中,來自美國普林斯頓大學的研究人員發現了將硒整合到微生物小分子中的生物合成途徑,這標志著率先在天然產物中發現了這種原子,為硒生物學開辟了一條新途徑。這一發現也有力地表明,硒是所有生命王國的重要微量元素,它在細菌中的生物功能可能比科學家初假設的更重要。相關研究成果于2022年9月7日在線發表在《自然》雜志上,題目為“微生物中含硒小分子的生物合成”。這篇論文的作者是普林斯頓大學化學教授Mohammad Seyedsayamdost博士。

圖中顯示了將硒整入到微生物小分子中的生物合成途徑,圖片來自Nature, 2022, doi:10.1038/s41586-022-05174-2。
論文作者、Seyedsayamdost實驗室研究生蔡斯凱魯茲(Chase Kayrouz)說,“這是一個封閉的領域。在過去的20年里,沒有人找到新的代謝硒的方法。20世紀80年代和90年代闡明了硒核酸硒蛋白的生物合成。從那時起,人們認為這些是微生物對硒的作用。我們只是想知道他們會不會把硒納入其他小分子中?結果,他們做到了。”
Seyedsayamdost表示,他們的“研究表明,大自然確實已經進化出了將這種元素整合到小分子、糖和次生代謝物中的方法。硒具有顯著的特性,不同于生物大分子中發現的其他元素。例如,含硒的抗氧化劑硒代氨酸比這種分子的硫代形式成為更好的抗氧化劑。然而,雖然硫在生物大分子中普遍存在,但硒的出現卻罕見得多,被認為于生物大分子”。
Seyedsayamdost說,“自然界進化出了一種特定的機制,將硫或硒整合到天然產物中,從而通過各自的方式利用這兩種元素的特性。”
Kayrouz說,“微生物將硒整合到這些化合物中是有原因的,因此肯定有一些有趣的生物活性與之相關。我們還不知道它是什么,但它非常令人興奮。作為生物化學家,這個發現是我們每天醒來的原因。”
總之,這項新研究闡明了兩種新的硒-碳(Se-C)鍵形成酶和硒糖生成的生物合成途徑,擴大了生物硒利用的范圍,表明硒代謝比以前認為的更為多樣化,并為發現其他含硒的天然產物奠定了基礎。
論文摘要部分:
硒是多種生物必需的微量元素。已知有兩種途徑可將其插入蛋白質和核酸,分別是通過硒半胱氨酸和2-硒尿啶。然而,盡管硒的重要性,具體結合到小分子的途徑仍然是未知的。在這里,我們使用基因組挖掘策略,在各種微生物中發現了一個廣泛的三基因集群,編碼產生硒氨酸的途徑,硒氨酸是多功能分子麥角硫氨酸的硒類似物。我們闡明了所有三種蛋白質的反應,并發現了兩種新的硒碳鍵形成酶和生產硒糖的生物合成途徑,這是一個意想不到的中間產物到終產品。我們的發現擴大了生物硒利用的范圍,表明硒代謝組比以前認為的更多樣化,并為發現其他含硒天然產物奠定了基礎。
(消息來源:中國醫藥網)
參考資料:
1. Chase M. Kayrouz et al. Biosynthesis of selenium-containing small molecules in perse microorganisms. Nature, 2022, doi:10.1038/s41586-022-05174-2.
2.化學家揭示硒嵌入天然產物的條途徑
https://phys. org/news/2022-09-chemists-reveal-pathway-selenium-insert . html



